remkuzservis.ru
remkuzservis.ru
Найти
Remkuzservis リップル
»
盎司 多少
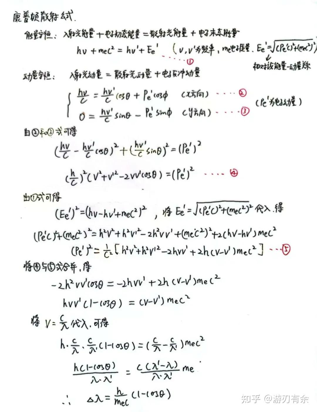
» 能量 波長 公式 (98) 사진
能量 波長 公式 (98) 사진
0
1
2
3
4
5
20 февраль
0
0
盎司 多少