remkuzservis.ru
remkuzservis.ru
Найти
Remkuzservis リップル
»
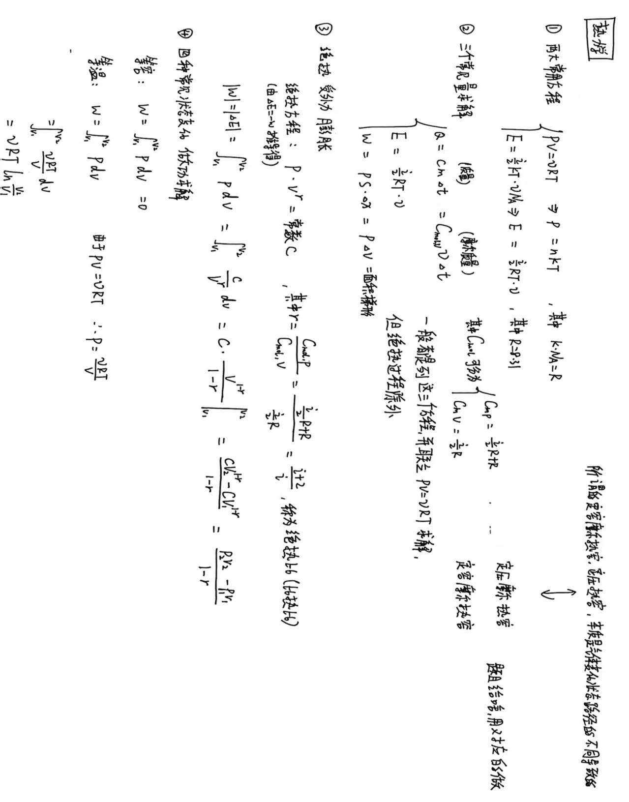
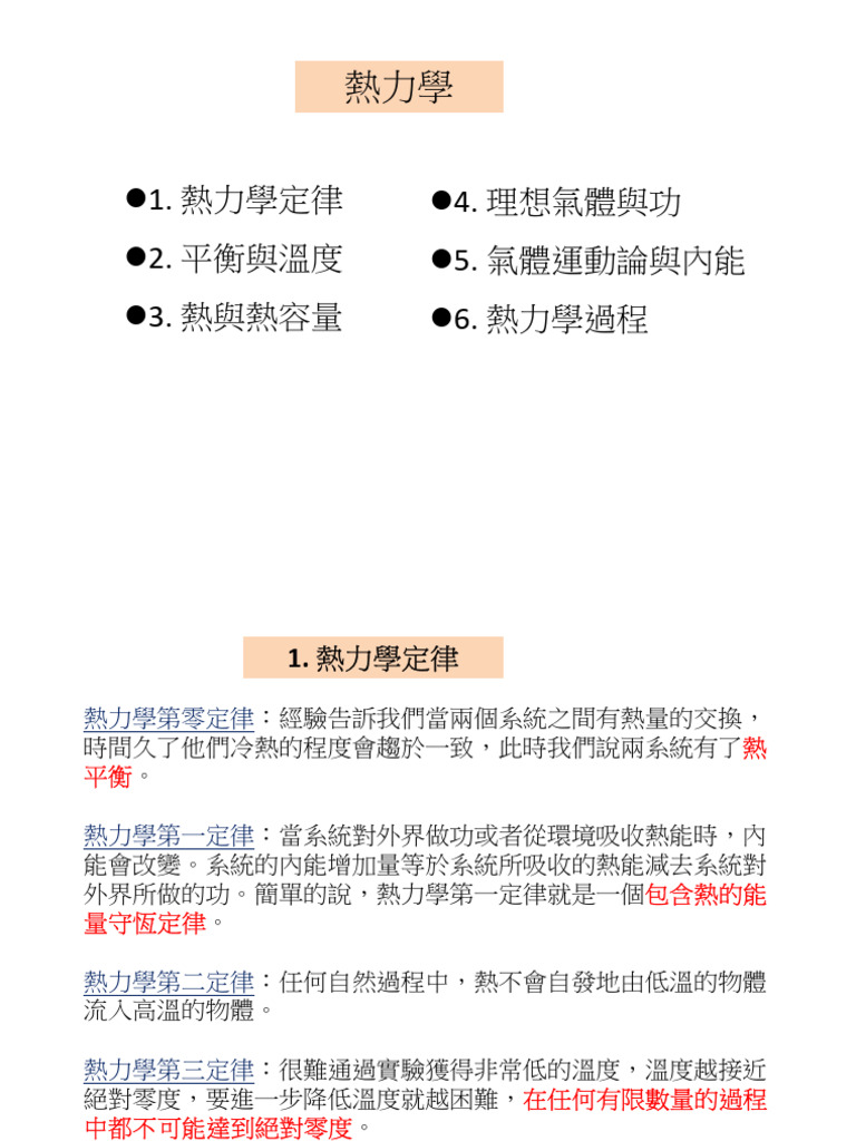
熱力學 公式
» 熱力學 內 能 公式 (96) 사진
熱力學 內 能 公式 (96) 사진
0
1
2
3
4
5
20 февраль
0
0
熱力學 公式
Похожие статьи
普化 熱力學 公式 (98) 사진
熱力學 公式 整理 (92) 사진
熱力學 四 大 公式 (94) 사진
熱力學 基本 公式 (95) 사진
化工 熱力學 公式 (99) 사진